シリコン結晶研究のルネッサンス
炭素
シリコン結晶中の炭素濃度の赤外吸収による測定法

目次
1. まえがき
2. 炭素による赤外吸収と測定原理
3. 試料
4. 赤外吸収スペクトルの測定
5. スペクトルの数学的処理、fractional phohon bands
5.1. 重み付き差吸収スペクトル
5.2. 濃度別のベースラインの引き方
(1)高濃度 1:1の差、フォノンバンド端間のlong baseline
(2)中低濃度、outer phonon bandとmiddle bandの間のmiddle baseline, 590-618cm-1
(i) 5x1015/p3以下, outer phonon bandが顕著
(ii)5x1015/p3以下、middle phonon bandの発生 no overlap at carbon peak, middle bandの外側 middle baseline, 590-618 cm-1(同上)
(iii)1x1015/p3以下、middle phonon band顕著、炭素ピーク位置でほぼ無視できる、 middle bandの外側 middle baseline, 590-618 cm-1(同上)
(3)低濃度、5x1014/p3以下、inner phonon bandが顕著、炭素バンドに重なりゼロ点がなくベースラインが引けない、バックグラウンドの包絡線
6.濃度の算出
A. 装置の検査
(1)フォノンバンドの高さがほぼ
(2)繰り返し測定スペクトルの再現性
B. 検出下限について
B.1. Instrumental detection limit
B. 2. Spectral detection limit
シリコン結晶研究のルネッサンス/シリコン学園表紙へ戻る
1. まえがき

シリコン結晶は、シリコン多結晶をカーボンヒーターで加熱融解し、種結晶を基に固化して成長される。このため高温のヒーターから成長雰囲気中に飛散した炭素が不純物として溶け込む。
特にパワーデバイスでは、炭素不純物は、特性に善悪の影響を及ぼす。このため炭素濃度はシリコンウエハの重要な仕様となり、測定が必須である。
測定は赤外吸収法により行われる。以下では具体的な測定法について述べる。一般的な基礎知識は文末の解説に述べる。

2. 炭素による赤外吸収と測定原理

結晶中の原子は互いに他の原子と結合して結晶格子を形成している。
原子は熱により格子振動しており、振動数と同じ周波数の赤外線を吸収する。(図1 透過率スペクトル、phonon/ref)
炭素の場合その波長は約16μm(604.5p-1)である。(図1 carbon、TestとRefの差)
格子振動の他に不純物は周りの原子と共に局所的に振動しており、その振動数の赤外線を吸収する。赤外吸収スペクトル。
吸収能は不純物濃度に比例するため、吸収係数を求めると濃度に換算できる。発光や吸収や散乱によるスペクトルは一般にピークの周りにガウス関数状に広がっている。ピーク高さからバックグラウンドノイズを引くとピーク吸光度が求められ、単位厚さ当たりの吸収係数を算出し、別に定められた換算係数により濃度に換算することができる。
従って測定は(1)赤外分光装置を用いた吸収スペクトルの測定と、(2)スペクトルを数学的に処理した吸収係数の算出の段階を踏む。シリコン結晶には格子振動や求めようとする不純物吸収の他に他の不純物や電荷によるフリーキャリアー吸収などがあり、またスペクトルは一般にバックグラウンドノイズがあり、それらを除く必要がある。それにも測定とスペクトル処理で対応する。まず最大の吸収である格子振動は、一般に不純物吸収の1000倍程度あるので、不純物を含まない参照試料との差吸収により相殺する。(図1 下)
スペクトル処理においては測定試料と参照試料の厚さの差による吸収を最も良く消すため重み付き差吸収を行う。その他の吸収については一般にベースライン処理を行う。求める不純物吸収以外は波数依存性がないとしてバックグラウンドを直線で近似することである。以下ではその具体的な方法を述べている。
最初に室温測定について全体を述べる。次に低温測定とポリシリコン測定についてそれぞれの特徴的課題について述べる。

図 補償法赤外吸収も模式図、測定試料と参照試料の吸収スペクトルを測定し差を求める


図1 上:測定試料(test)と参照試料(ref、無炭素)の透過光強度スペクトル、差が炭素による吸収 
下:差吸光度スペクトル、炭素の吸収バンド、濃度1017/p3、裾は570,630p-1でゼロとなる


3. 試料

通常は厚さ2oで両面鏡面研磨の試料が測定試料と参照試料として用いられる。
スペクトルの測定
測定試料を試料室に入れ、雰囲気の水蒸気などが減ってから強度スペクトルを求め、数学的に吸収スペクトルに変換する。次に参照試料の吸収スペクトルを求める


4. 赤外吸収スペクトルの測定

赤外吸収は化学の世界を中心として広く使われている汎用的な方法である。従って汎用装置が市販されている。但し一般の化学分析が定性分析であるのに対して、ここで用いられるのは高感度な定量分析のため、汎用市販装置に比べて精度や安定性の高い装置を必要とする。このため、測定に当たっても、まず装置の精度や安定性の確認が必要になる。これについても詳細は文末に述べることとし、ここではスペクトルの測定について述べる。
汎用の中赤外分光装置では400-4000p-1が主に用いられ、炭素などの不純物吸収もその範囲にある。一般には500-700p-1が測定に用いられる。
高性能な装置では、スキャン回数を多くして繰り返し測定し加算して平均するほどS/N日が良くなる。フォノンピーク吸光度が厚さ2oで0.7であるのに対して、炭素による吸収は1015/p3でも0.001と1/700であるから大きな吸収の中での微細な差を求めなければならない。通常の定性分析が64scan程度であるのに対して炭素濃度測定では1000scan以上が用いられる。(図2)

低温測定
低温測定については別に述べる


図 中赤外波数域(400-4000cm−1、2.5-25μm)の無試料(空気)の透過光強度スペクトル、主な吸収は水蒸気


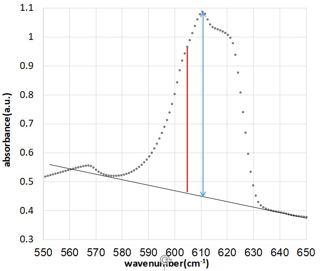
図2 フォノンによる吸光度スペクトル575-636pで接線が引ける(ベースラインの基本)
ピークは611p。炭素の吸収バンドのピークは604.5pでフォノン吸収の低波数側の肩にある


5. スペクトルの数学的処理、fractional phohon bands

スペクトルの数学的処理による炭素ピーク吸光度の算出
測定試料と参照試料の吸収スペクトルから差吸収スペクトルを算出して、炭素以外の吸収をできるだけ完全に消去して、炭素吸収スペクトルを算出し、ピーク吸収とバックグラウンド吸収を決定してその差のピーク吸光度を求め、吸収係数から炭素濃度に換算する。
1017/p3以上などの初期の高濃度の時代には、単純に差スペクトルを求めると炭素以外の吸収やバックグラウンドノイズは無視できるほど小さかったため、ガウシアン形状のスペクトルに接線を引くとベースラインとなり、バックグラウンド吸光度が得られて、ピーク吸光度が得られた。
ここで主に扱うのはそれより低濃度の、フォノンなどの吸収が完全には消えない場合である。その理由は2016年に発見されたfractional phonon bandである。Outer, middle, innerの3種に分けられ、一方炭素バンドは低濃度になるほど狭くなって、これらのバンドの重なり方が数段階に分かれる。従って処理の仕方も数段階に分かれる。そして最後の段階は重なりのためにベースラインが引けなくなり新たな方法が必要となる。

図3 15乗台下半の差吸光度スペクトルの例、outer phonon bandsと middle phohon band


図4 黒:フォノンバンド(縮小)、赤:差分、極大値(変曲点)にfractional phonon bandsが現れる

5.1. 重み付き差吸収スペクトル

試料厚さを所定の2mmから20μm以内に仕上げるのは容易でないから、差吸収スペクトルにはフォノン吸収が0.001近く残る。これは炭素濃度1015/p3に相当する。厚さの比の逆数の重みをかけて引くとほぼ消去することができる。試料の性質や厚さの差や炭素濃度に依り、フォノンを初めとする吸収が残る。これに対しては重みを試行錯誤で変えて、バックグラウンドが最も小さくなるようにする。またバックグラウンドは波数に対して傾斜していることが普通なので、傾斜補正をして水平にして処理をしやすくする。

5.2. 濃度別のベースラインの引き方

濃度が小さくなるにつれ、炭素のバンド幅が小さくなり、3種のfractional phonon bandとの内、内側にあるバンドと重なるようになる。従って重なり方により3段階のベースラインの引き方が必要になる。

(1)高濃度
1:1の差、フォノンバンド端間のlong baseline

では、差吸収にはフォノンバンドはほぼ残らない。炭素バンドの端に当たるフォノンバンドの外にbaselineを引く方法がとられてきた
CZ結晶ではCiOi吸収が560,585,622,626p-1付近にあるので、560と640よりやや外にする(図3)
 
図5 17乗台までの高濃度試料の差吸収スペクトル

(2)中低濃度、outer phonon bandとmiddle bandの間のmiddle baseline, 590-618cm-1
(i) 5x1015/p3以下, outer phonon bandが顕著

では炭素バンドが狭くなると共に小さくなって580,630p-1付近のouter phonon bandの大きさが近づいてくる。測定試料と参照試料は厚さの差や比抵抗の差によるフリーキャリアー吸収の差などがあるので、単純な差ではフォノンバンドを相殺することができないため、適当な重みをかけて引き、できるだけ小さくなるようにする。これらは590,620p-1付近でほぼ0になるので、それらを両端とするbaselineを引くことができる。吸収スペクトルのバックグラウンドの波数依存性が直線であることを前提にしている。(図3)

図 15乗台下半の差吸収スペクトル、middle phononが目立たない場合

(ii)5x1015/p3以下、middle phonon bandの発生 no overlap at carbon peak, middle bandの外側 middle baseline, 590-618 cm-1(同上)

炭素バンド幅は狭くなって、612p-1のmiddle phonon bandの大きさが近くなってくる。そこでフォノン吸収の0になる場所を探すと上のouter phonon bandの場合と同じ590,616p-1になる。すなわちmiddle phonon bandは炭素バンドと一部が重なってベースラインの内側に入ってしまうが。Middle bandの外にbaselineが引ける。


図6 15乗台下半の重み付き差吸収スペクトル(再掲)

(iii)1x1015/p3以下、middle phonon band顕著、炭素ピーク位置でほぼ無視できる、 middle bandの外側 middle baseline, 590-618 cm-1(同上)

フォノン吸収が炭素ピークの位置で0になっていないと、ピーク吸光度を過大評価して誤差になってしまう。この図の場合はどのスペクトルもほぼ0になっていると考えることができる。



(3)低濃度、5x1014/p3以下、inner phonon bandが顕著、炭素バンドに重なりゼロ点がなくベースラインが引けない、バックグラウンドの包絡線

になると、inner phonon bands, baseline impossible, envelope
600,608p-1に位置するinner phonon bandが同じくらいの大きさになる。これらは炭素バンドと重なり分離することができず、phonon zeroポイントが無くなってベースラインを引くことが不可能になる。従って従来通りの普通の方法ではピーク吸光度、言い換えれば炭素を求めることができない。
下記のようにして一応値を未t図盛ることができる。
炭素バンドの吸収は600,610p-1付近でゼロになるから、ベースラインとしてはその2点を引くようにするのが望ましい。
この例では低波数側のinner phonon bandは炭素ピーク位置ではほぼ0」と考えられる。そしてベースラインの想定される位置は低波数側では0になっているので包絡線の位置と考えられる。一方高波数側のinner phonon bandはピーク位置の608p-1でピークが無いので608p-1の位置が炭素バンドもほぼ0と見なせる。このようにして、ピークでのバックグラウンドの位置をある程度推定することができる。差濃度は上から2.8, 2.2, 0.5, 1.5, 0.7x1014/p3

図 14乗台下半の差吸収スペクトル、接線ベースラインは誤りゼロ点でなく


図 ベースラインの代わりにバックグラウンドの推定点を滑らかに結ぶ包絡線を引く。そこからの高さをピーク吸光度とする

低温測定では炭素バンドが鋭く高くなってinner phonon bandと分離されるため、ベースラインを引くことができるため測定が容易である。高性能の装置を用いて精度の良いスペクトルを得れば1013/p3程度まで測ることができる。


6.濃度の算出

炭素のピーク吸光度から、厚さを考慮して1cm当たりの吸収係数に換算し、高濃度での測定結果図の場合の結果を図に示す。横軸は放射化分析による濃度であり、直線は濃度への換算係数0.82x1017/p-1の場合である。ほぼ満足すべき結果が得られている。最高濃度以外の場合も同じ換算係数を用いればよい。


A. 装置の検査

赤外分光装置には感度・精度・安定性が必要である。その検査法の例が2016年に示されている。
(1)フォノンバンドの高さがほぼ

(2)繰り返し測定スペクトルの再現性
フォノンバンドの領域は、炭素濃度測定に用いられる領域であるが、透過率が最も下がっている光の弱い領域のため、再現性が最も悪く、積算と平均の効果が減り、誤差の原因となる。そこで繰り返し測定の間の差が小さいことが望ましい。最大で吸光度差が0.001以内というのが一つの目安となる。実際の測定では繰り返し測定して平均するとスペクトル品質は格段に良くなる。


B. 検出下限について

定量分析や濃度測定には良く検出下限という言葉が使われるが、方法の絶対的な検出下限というものは無い。上記のように装置ごとに性能が異なって検出下限が異なるほかに、検出下限には原因があって、技術的対策がなされる毎に検出下限は改善されていくからである。また分析の世界では検出下限は色々なものが定義されており、素濃度測定の赤外吸収法の国際規格であるASTMではdetection limit (DL)またはlimit of detectionという言葉はinstrumental detection limitの意味で使うと定められている。しかし、これにも色々な定義がある他、その求め方も明示されておらず、低温測定で5x1014/p3という根拠が不明で1990年に定められて以降改訂がなく時代遅れとなっている。そこで我々はその再定義と実際の値についての評価を行った。

B.1. Instrumental detection limit

Instrumental detection limitで化学分析の教科書や環境汚染や放射能汚染などで最も良く用いられているのは、「ブランク試料の測定結果の標準偏差の3倍」である。ASTM規格でもほぼ同様であるので、それに従うこととする。但し、補償法については新たに考える必要がある。そこで、ブランク試料から「極低濃度の同じ濃度の試料の2つの測定の差」に拡張した。また標準偏差として一般的な8回の測定を採用した。
推定濃度が約3x1014/p3の低濃度試料を繰り返し測定し、8組のデータで差スペクトルをとり、middle baselineを引いて炭素ピーク位置での高さの標準偏差を求めて3倍した。左図の例では3x1014/p3となった。
一方差が5x1014/p以下の右下図の例では差は3x1013/p3か0となる組み合わせで600-610cm-1のinner baselineを引き同様に標準偏差の3倍を求めると9x1013/p3となった。
即ちIDLそのものも、用いる試料の濃度とbaselineの幅が小さくなると小さくなる。
 

B. 2. Spectral detection limit

上の極低濃度の場合のように、炭素バンドにフォノンバンドが重なって、ベースラインが引けない場合には、機械的にベースラインを引く上記の方法でIDLを見積もることができない。そこで、上の方法のように、バックグラウンドを推定した曲線を用いて、そこからの炭素吸収ピークの高さを用いることとした。
図は1014/p3台前半の非常に濃度が近い2試料の差スペクトルの例で、差吸光度の最小目盛は0.00001即ち1x1013/p3に相当する。Inner phonon bandの高波数側はほぼ0と見られる。低波数側は負に大きくなっているが炭素バンドのピーク位置ではほぼ0でピーク高さに影響を与えていないように見受けられる。従ってバックグラウンドは包絡線で赤の曲線に描いたような変化をしていると想定でき、これをベースラインの代わりに使ってピーク吸光度は約0.00005と見積もることができる。即ち差濃度5x1013/p3程度が測定できたことになる。(4)項はこのやり方である。スペクトル全体を用いて、バックグラウンドの値を推定することによって、直線という機械的なバックグラウンドを用いる統計的なIDLよりも低濃度まで測定が可能と判断できる。この例では約3x1013/p3と見積もられる。


図 ベースラインの代わりにバックグラウンドの推定点を滑らかに結ぶ包絡線を引く。そこからの高さをピーク吸光度とする





高感度化と実用化と標準化


初めに
シリコン結晶中の軽元素不純物である、酸素、炭素、酸素は、結晶の歩留まりばかりでなく、シリコンデバイスの性能を左右します。
そこでこれらの濃度はシリコン基板の重要な仕様となっています。
これらの濃度は赤外吸収法により測定されています。
不純物はシリコン結晶中で、シリコン原子が振動してフォノンと呼ばれているように、固有の振動をしていて、局在振動モードによる赤外吸収があります。
その赤外吸収の大きさは不純物の濃度に比例します。
そこでその吸収の大きさを測ることにより濃度を求めることができます。
シリコン基板の取引において、信頼できる濃度値が必要です。
そのため、測定は公的に定められた測定法規格に従って測定されています。
従って高感度で高精度で実用的な測定法が開発されています。
測定法規格の代表は米国のational Bureau of Standard (NBS)が提供する測定法や材料の公的規格
American Standard for Testing and Material (ASTM)です。
炭素濃度は1970年のASTM123-70(tentative)が最初のようです。
わが国ではそれに倣って、通産省傘下の電子協で規格作りが始まりました。
ほぼ内容ができたときにASTMがそれまでの分散型装置からフーリエ変換型装置への対応のために規格の改訂を目指していることが分かり、
電子協から改定内容を提案し、1990年にASTMF139として制定されました。その後まだ改訂が進んでいません。
現在までに高感度の測定法の開発と普及が進み、改訂作業が進められています。

高感度化の開発と普及のあらまし

2005年頃の電気自動車への移行の本格化において、パワーデバイスのライフタイム制御に照射により準位を形成する方法に炭素が関与していることが次第に明らかになり、シリコン基板の炭素濃度の制御と測定の高感度が始められました。
課題の計画化と対策
シリコンメーカや分析装置メーカーやSIMSと放射化分析を含む分析サービス会社との協力
それらへのフィードバックと普及
測定法規格の改訂
が進められています。
それまでのIC chip全盛時代では、1970年代後半に炭素は欠陥に関与しないことが明らかにされ、濃度測定が実質的にされない時代が続いていました。
以下は応用物理学会における最近までの一連の研究発表の題名で、課題と達成が要約されています。

年表 シリコン結晶中の炭素濃度と測定の歴史


高感度化の開発と普及の詳細

第二世代技術を開発し応用物理学会で2005年春から現在の2024年まで約30件発表した内容を以下に示します。


CZ-Si結晶中の低濃度炭素の赤外吸収測定 05春 29a-ZN-8
同(U) 高精度測定法 05秋8a-ZA-7
(III) 参照試料の作製 08春29p-X-15
(IV)10^14/cm^3台の測定と技術移転 12春 17p-F11-8
(V) フォノン吸収による妨害の対策と規格化の検討 14秋 20a-A20-2
(VI) 5x10^14 cm?3までのSIMS測定と標準試料 2015年春 12p-A18-3
(Z) 第二世代技術による 1x10 14 cm ?3の濃度と1x 10 13 cm ?3の 濃度差の 測定 13p-1E-1
([) 第二世代技術による 1014 cm?3 台の測定と SIMS,放射化 20a-H113-8
(\) 16乗から13乗へ16秋15-A23-11
(a)シリコン結晶中の炭素濃度測定の感度と規格適用濃度と検出下限16秋15-A23-12
(]) 14乗までの測定法 17春14p-F201-13
(b)シリコン結晶中の炭素濃度測定の感度と規格適用濃度と検出下限 (2) 「検出下限」の用法と科学的根拠 17春14p-F201-13
(c)シリコン結晶中の炭素濃度測定の感度と規格適用濃度と検出下限 (3)応物学会などにおける誓約書や拒絶などについてと研究公正 発表拒否
(?)電子線照射による1x1013cm-3までの赤外参照試料とブロックゲージの作製 17秋6p-A503-8
(?)1013cm-3迄の検出と1014cm-3までの高精度測定 17秋6p-A503-9
(XIII)参照試料とブロックゲージとスペクトルと測定プロセスの共有による高感度高精度測定ネットワーク化と実用 17秋6p-A503-10
(XIV)1x1013cm-3までの赤外用人工ブロックゲージの作製と共有 18春8p-D103-22
(XV)1x1013cm-3までの第二世代赤外吸収測定の国際ネットワーク 18春8p-D103-23
(XVI)低温における1x1013cm-3までの赤外吸収測定 18秋19p-131-14
(XVII) 1014atoms・cm-3のポリシリコンの赤外吸収測定18秋19p-131-15
(XVV)赤外吸収とSIMSの相互較正 19春16p-M111-11
(]\) 第二世代赤外吸収測定法の標準手順 19秋 18a-C212-3
(]]) 赤外吸収測定法規格の修正試案 20春15p-D411-5
(]]I) 炭素濃度の低減と測定法の進歩:Carbon engineering 20秋 11p-Z12-17
(]]II) 赤外吸収測定法規格の改訂再開 21春 19a-Z29-9
(23)赤外吸収法のinstrumental detection limitとspectral detection limit 21秋 10p-N203-9
シリコン結晶中の低濃度炭素の測定(24) インターネットとtemplateを用いた赤外測定 22春 26p-E104-11
22秋 10p-N203-9
23春 19a-Z29-9
23秋 10p-N203-9
24春 19a-Z29-9
24秋 10p-N203-9

内容を大別すると以下のようになります
参照試料 3,6,11
フォノン吸収の妨害 5
吸収からから濃度への換算係数の較正
感度向上 4,6,7,8,9,10
検出下限 a,b,23
低温 16
ポリシリコン 17
国際ネットワーク 4,13,14,15
SIMSと放射化分析との較正6,8,18
標準手順・規格の改訂 5,19,20,21,22,23
続く